【 模範解答の特徴 】

TEX例示写真.jpg

わかりやすい表記

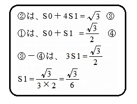
ASOKA学習研究会では、あえて数学表記を“TeX”という方式にこだわって作成しています。この方式で学生の方に説明することで、明確でわかりやすい表現を行なっています。

図形.bmp

わかりやすい図形

ASOKA学習研究会では、2次元や3次元の図形を、数学専用のソフトウェアを用いて作成しています。そのため、パラメーターが変われば、図表がどのように変わるか、直感的にわかるような表現が可能になっています。

指し棒.bmp

わかりやすいポイント指示

先生がいくら良いことを言っても、どの部分のことか分からなければ、学生さんは理解することができません。ASOKA学習研究会では、図表などのポイント・ポインに、細かく指示棒を指すことで、学生さんの理解を助け、わかりやすく、数学が楽しく理解できるようになっています。

ポイントカード.bmp

わかりやすいストーリー

ASOKA学習研究会では、ネコのキャラクターであるクーニャン先生が、わかりやすいストーリーで解説しています。ポイントカードを用いた解説など、学生さんが「あ!そーか!」というシーンを迎えることでしょう。